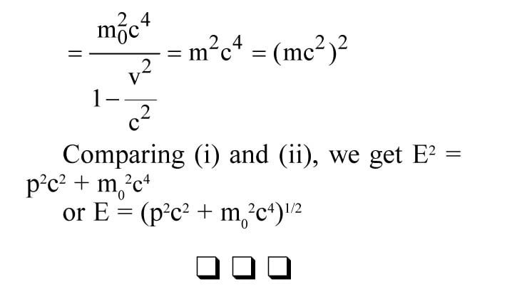
THEORY OF RELATIVITY

Shopping Cart