Skip to content
Children Books
General Books
Story Books
Language Books
Hindi Books
learning Books
School books
Activity Books
Store
Parents’ Corner
Kids’ Corner
Free E-Books
Learning and Schooling E-Book
Contact Us
Search for:
Search
Search for:
Search
Children Books
General Books
Story Books
Language Books
Hindi Books
learning Books
School books
Activity Books
Store
Parents’ Corner
Kids’ Corner
Free E-Books
Learning and Schooling E-Book
Contact Us
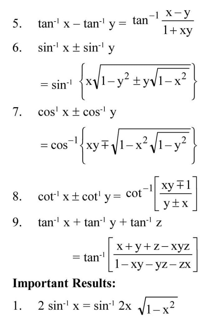
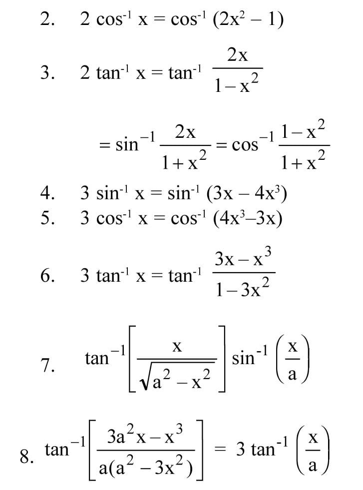
59. Inverse Trigonometric Functions
/
Mathematics
/ By
Sahil Gupta
←
Previous Post
Next Post
→
Shopping Cart
✕