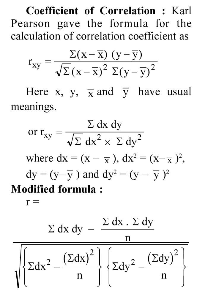
52. Correlation and Regression

Shopping Cart