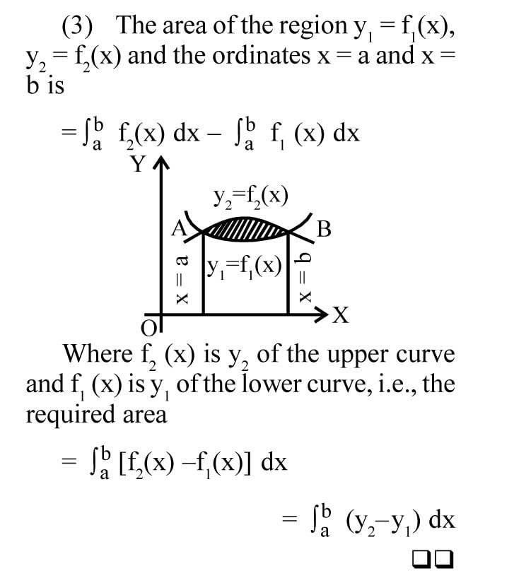
48. Area Under Curves

Shopping Cart